Yo que quería tranquilamente escribir un post sobre el principio de precaución y resulta que Séralini ataca de nuevo. Después de retirarle una publicación por resultados no concluyentes, una nueva publicación de su grupo alerta sobre los pesticidas. Y esta vez parece ser un estudio más robusto que el anterior. En el estudio, se analizaron los efectos de pesticidas
muy usados en la actualidad como los insecticidas Confidor (cuyo principio
activo es el imidacloprid, sustancia conocida por el problema de las abejas)
y Polysect (otro neonicotinoide cuyo principio activo es el acetamiprid).
Así como el fungicida Eyetak (procloraz) o el herbicida Starane (fluoxypyr). El famoso Roundup (cuyo principio activo es el glifosato), de Monsanto, que resultó ser el más toxico de los herbicidas testados. Y como novedad se analizó la diferencia toxicológica entre el principio activo y la formulación comercial
![]() |
| Composición de Roundup Ultra Plus |
Los agroquímicos se comercializan en formulaciones. Hay una principio activo (el que mata el bicho o la planta) y sustancias adyuvantes que mejoran la calidad del producto (duración, penetración, disolución, etc.). Por poner un ejemplo, tomaré el herbicida más usado del mundo. El Roundup Ultra Plus, de Monsanto, tiene como principio activo el glifosato, añaden un surfactante (eteramina etoxilada), y el resto (58%) del producto queda sin detallar (ver imagen adyacente).
![]() |
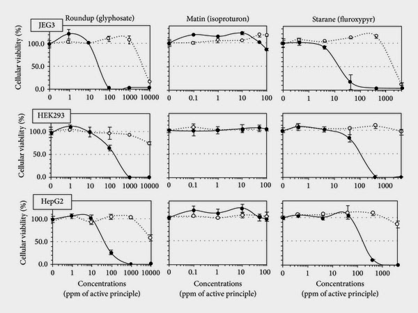
| Efectos citotóxicos diferenciales entre principios activos (linea negra) y formulaciones comerciales (linea de puntos) |
Los ingredientes secundarios (que son un 58%), no salen siquiera en la ficha de seguridad dado que se considera secreto de la empresa. De hecho en las diversas fichas de seguridad de los productos de Roundup de Monsanto se puede leer como sólo detallan la toxicidad del glifosato. De hecho salen sólo 5 ensayos simples con Roundup. O dicho de otra forma: la formulación comercial apenas tiene estudios toxicológicos. Los estudios toxicológicos profundos, y las regulaciones se
hacen en base a los principios activos, no a la formulación. Y esto es así para todos. Normalmente,
los test de seguridad de los pesticidas y herbicidas se hacen solo sobre el ingrediente activo destinado a la plaga, no con toda la formulación que encontramos en realidad. Esto es así, en parte, porque los ingredientes "inertes" pueden cambiar (por ejemplo para un preparado granulado, polvo o líquido, son diferentes).
Así que ya ven el problema: las pruebas para determinar la toxicidad y seguridad de estos fitosanitarios suelen estudiar solo una mínima parte del contenido, los
"principios activos". De hecho en el caso del Roundup, al menos un 58% del producto no se ha testado. Ni siquiera se sabe lo que contiene pero se considera inerte (que literalmente significa que hace poco o nada).
Las implicaciones
Cuando uno busca información en las bases de datos de toxicología, encuentra sólo entradas sobre principios activos (EPA, INCHEM), pero no sobre las formulaciones comerciales. Esto quiere decir que en muchos casos las conclusiones sobre
seguridad y la clasificación de peligrosidad se están subestimando
mucho. Dicen los autores:
"el cálculo de la Ingesta Diaria Aceptable (el nivel de exposición
a sustanciaa considerado seguro a largo plazo) se hace en
base al principio activo y no al cóctel comercial. Y es ese cálculo el que justifica la
presencia de residuos de ésos pesticidas a niveles "admisibles" en el
medio ambiente y los organismos [...] Los
test crónicos sobre pesticidas pueden no reflejar exposiciones ambientalmente
relevantes (es decir, las exposiciones que se dan realmente) si se testa
solo un ingrediente de estas mezclas".
Ahora cuesta menos entender todos los problemas que está teniendo el Roundup últimamente, donde se encuentran evidencias en la realidad de toxicidad a dosis muy bajas. A alguien malpensado se le podría ocurrir pensar que las industria, sabedores de esto, usan las sustancias "inertes" a su favor. Para el autor del estudio no hay duda. Y lo cierto es que la historia de la toxicología, viene sacudida por la realidad de que gran parte de las sustancias "inertes" acaban por no serlo (si no que se lo digan a los Curie, o busquen sobre la historia de la asbestosis, la silicosis o el DDT). Por ello se pide que se publiquen todos los ingredientes que contiene las formulaciones comerciales, cosa que me parece una buena idea.
Ahora cuesta menos entender todos los problemas que está teniendo el Roundup últimamente, donde se encuentran evidencias en la realidad de toxicidad a dosis muy bajas. A alguien malpensado se le podría ocurrir pensar que las industria, sabedores de esto, usan las sustancias "inertes" a su favor. Para el autor del estudio no hay duda. Y lo cierto es que la historia de la toxicología, viene sacudida por la realidad de que gran parte de las sustancias "inertes" acaban por no serlo (si no que se lo digan a los Curie, o busquen sobre la historia de la asbestosis, la silicosis o el DDT). Por ello se pide que se publiquen todos los ingredientes que contiene las formulaciones comerciales, cosa que me parece una buena idea.
Los estudios son in vitro, y necesitan ser confirmados, y seguro que viniendo de Séralini levantará polvareda. Pero las cifras que encuentran son asombrosas y no parece ser artefactos. De lo que no hay duda es de que se regula en base a principios activos, y se da por inertes sustancias que no lo son. Y quizás, lo más importante del artículo, es lo poderoso que puede llegar a ser el efecto cóctel, y lo mucho que nos queda por saber de él. Si un principio activo combinado con sustancias "inertes" puede aumentar hasta 1000 veces su toxicidad. ¿Qué puede ocurrir cuando se combinan diversas sustancias activas en un mismo organismo?
Probablemente no sean factores importantes de mortalidad, porque se detectarían en estudios epidemiológicos ¿pero podrían estar detrás de una silenciosa pandemia de neurotoxicidad?


No hay comentarios :
Publicar un comentario